Жидкостная адсорбционная хроматография
В колоночной жидкостной хроматографии в качестве неподвижных фаз широкое распространение получили оксид алюминия и силикагель. Реже применяют синтетический силикат магния (флоризил), оксид магния, пористые стекла, пористые полимеры и неполярный адсорбент - активированный уголь. С появлением ВЭЖХ силикагель стал основной полярной неподвижной фазой. Таким образом, жидкостная адсорбционная хроматография (ЖАХ) на силикагеле - нормально-фазовая хроматография, в которой неподвижная фаза более полярна, чем подвижная. Для формирования ПФ в этом варианте хроматографии в качестве растворителей применяют неполярные алифатические углеводороды или дихлорметан, а в качестве модифицирующих добавок - спирты, простые ациклические и циклические эфиры, сложные эфиры, галогеналканы.
Главные преимущества силикагеля - относительная инертность, большая адсорбционная емкость, он легко поддается модификации: различные его типы значительно отличаются по размерам пор и суммарной удельной поверхности, измеренным в стандартных условиях. Поверхность силикагеля также можно модифицировать или покрыть пропитывающей средой.
В настоящее время известно более ста сортов (различных модификаций) силикагеля, а так же ряд силикагелей с химически модифицированной поверхностью, однако выбор элюента в ЖАХ играет более значимую роль, чем выбор неподвижной фазы. Меняя природу ПФ, можно в широких пределах изменять объемы удерживания и селективность разделения на одних и тех же адсорбентах.
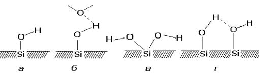
Силикагель SiO2·хН20 имеет аморфную структуру, его внутренняя поверхность энергетически неоднородна из-за наличия нескольких типов беспорядочно распределенных силанольных ОН-групп. Кроме ОН-групп в адсорбционных процессах участвуют и поверхностные силоксановые группы ≡Si-O-Si≡. Присутствующая в силикагеле вода удерживается в нем в результате взаимодействия с поверхностными силанольными группами и за счет капиллярной конденсации.

а) свободная ОН-группа
б) связанная ОН-группа
в) геминальная ОН-группа
г) реакционноспособная ОН-группа.
ЖАХ основана на конкурентном взаимодействии полярных групп вещества и молекул растворителя с активными центрами адсорбента на его внутренней поверхности. Поверхность силикагеля, находящегося в равновесии с подвижной фазой всегда покрыта более или менее прочно связанным адсорбционным слоем. Если подвижная фаза содержит два или более компонентов, то состав адсорбционного слоя отличается от состава в объеме подвижной фазы. Адсорбция молекулы сорбата может происходить с вытеснением одной или нескольких молекул адсорбированного слоя или без него. Процессы взаимодействия молекул сорбата с адсорбционными слоями и поверхностью твердого адсорбента весьма сложны, главную роль в них играют ион-дипольные и диполь-дипольные взаимодействия. Селективность разделения в ЖАХ определяется не только межмолекулярным взаимодействием молекул данного сорбата, но и межмолекулярными взаимодействиями молекул ПФ как с адсорбентом, так и с молекулами сорбата, находящимися как на поверхности адсорбента, так и в адсорбционном слое и в объеме элюента.
В целом наблюдаются следующие закономерности.
Удерживание возрастает:
а) с увеличением полярности сорбата;
б) с уменьшением числа атомов углерода в его молекуле;
в) по мере уплощения молекулы и при увеличении числа π-электронов (для полиядерных соединений).
Удерживание уменьшается:
а) с увеличением степени экранирования полярных групп сорбата орто-заместителями;
б) при увеличении полярности подвижной фазы;
в) по мере дегидроксилирования поверхности адсорбента.
Полярность сорбата определяется числом и характером полярных функциональных групп. Ниже приведены ряды функциональных групп органических веществ, расположенных в порядке возрастания адсорбируемости на силикагеле:
-СН2- < -СН3 < -СН=СН- < -S-R < -O-R < NO2 < -NH-(карбазол) < -C(0)OR < -С(0)Н < -C(0)R < -ОН < -NH2 < -С(0)ОН
F- < Сl- < Br- < I- < -OR < -NR2 < -N02 < -C(0)OR < -C(0)R <-C(0)H < -NH2 < -NH-C(0)R < -OH < -C(0)OH < -SO3H
Уже некоторые несоответствия в двух приведенных выше эмпирических рядах показывают, что они носят приблизительный характер, поскольку существуют различия между алифатическими и ароматическими соединениями, имеет место влияние дипольного момента и поляризуемости молекулы, стерический факторы, кислотность адсорбента, полярность и селективность подвижной фазы.
ЖАХ на силикагеле обеспечивает наибольшую селективность при разделении соединений, имеющих различные функциональные группы и различное число таких групп. В тоже время разделение веществ гомологов и вообще веществ по молекулярной массе в силу специфического механизма удерживания в этом варианте хроматографии не эффективно. Разделение членов гомологического ряда достигается только для первых членов и быстро падает с ростом числа метиленовых групп. Ограничением метода является растворимость сорбатов, они должны удовлетворительно растворяться в органических растворителях. Хроматографическая система в ЖАХ очень чувствительна к влаге, медленно стабилизируется, поэтому градиентная хроматография на силикагеле имеет плохую воспроизводимость параметров удерживания и не целесообразна для рутинных анализов.
1 - 2,4,6-триметилфенол2 - 2,6-ксиленол
3 - 2,5-ксиленол
4 - 2,3-ксиленол
5 - 2,4-ксиленол
6 - о-крезол
7 - 3,5-ксиленол
8 - 3,4-ксиленол
9 - μ-крезол
10 - n-крезол
11 - фенол
Хроматограмма фенолов, полученная в условиях ЖАХ на колонке Zorbax Silica 250x4.6мм 6 мкм, демонстрирует высокую селективность в разделении сложной смеси фенолов: разделены изомеры, очень сложно разделяемые методом газовой хроматографии и обладающие очень близкими свойствами.
Оксид алюминия, как и силикагель, широко используют в колоночной хроматографии низкого давления и в ТСХ. Сорбенты на основе оксида алюминия показали повышенную селективность по сравнению с силикагелем в разделении многоядерных ароматических углеводородов, некоторых аминов.
Химическая неоднородность и каталитическая активность поверхности Аl2О3 выше, чем силикагеля. Оксид алюминия может вызывать разложение компонентов пробы или их необратимую сорбцию. Необратимо сорбирующиеся вещества, накапливаясь на начальном участке колонки, могут привести к повышению сопротивления колонки или даже к полной ее забивке. Последний недостаток может быть устранен путем использования предколонки, которая по мере повышения сопротивления заменяется на новую или перезаполняется новым сорбентом. Однако необратимая сорбция или реакции на сорбенте приводят к получению хроматограмм, на которых полностью или частично отсутствуют чувствительные к сорбции или каталитическому разложению компоненты пробы.